Andare al lavoro in bici o a piedi per stare in salute e risparmiare

Uno studio ha rivelato come i pendolari che si muovono a piedi o in bici abbiano molte meno probabilità di soffrire di patologie gravi e di incorrere in morte precoce

16 gennaio 2022 - 7:53

Andare al lavoro in bicicletta oppure a piedi riduce i rischi di patologie e di morte precoce.

Uno studio condotto da un gruppo di ricercatori dell’Imperial College di Londra, che ha coinvolto migliaia di persone monitorare per diversi anni, ha fornito importanti indicazioni sul legame tra abitudini di vita, salute e mortalità.

L’obiettivo dello studio era verificare quanto le abitudini di spostamento potessero influire sul tasso di mortalità e sull’insorgenza di malattie.

Lo studio è stato condotto su un gruppo di circa 300.000 pendolari britannici di età compresa tra i 30 e i 59 anni che sono stati seguiti per 25 anni.

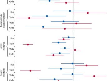
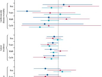
Il risultato ha evidenziato come chi andasse al lavoro prevalentemente in bicicletta, a piedi oppure in treno avesse un rischio di morte precoce di circa 20% inferiore rispetto ai pendolari che usavano prevalentemente l’auto per i propri spostamenti.

 

Lo studio, criteri e metodi:

Per compiere questo studio i ricercatori hanno suddiviso i pendolari in tre macro categorie, distinte a seconda dei mezzi di spostamento:

_ Pendolari motorizzati.
_ Pendolari mezzi pubblici.
_ Pendolari a piedi o in bicicletta.

Ciascun gruppo è stato monitorato per diversi anni, per verificare l’insorgenza di patologie e le eventuali cause di decesso. Il risultato che gli studiosi si erano prefissati era verificare le differenze tra questi gruppi di pendolari relativamente a:

_ Mortalità per tutte le cause.
_ Insorgenza di malattie cardiovascolari.
_ Insorgenza di cancro.

Questi soggetti sono stati seguiti dal 1991 al 2016, nel corso di questi anni gli studiosi hanno monitorato lo stato di salute dei partecipanti e le loro abitudini di vita.

Tutti i partecipanti che hanno accettato di partecipare alla sperimentazione erano persone sane e varie sotto il profilo dell’età, del sesso e dell’etnie.

 

I risultati:

I ricercatori si aspettavano uno stato di salute globale migliore per i pendolari più attivi rispetto a quelli più legati all’automobile, ma i dati statistici sono stati decisamente superiori alle attese degli studiosi.

I pendolari che si muovevano a piedi o in bicicletta avevano un tasso di mortalità per tutte le cause inferiore almeno del 20% rispetto a  chi si muoveva esclusivamente in auto.

In particolare, la possibilità di avere patologie cardiovascolari era inferiore del 24%,  mentre la probabilità dell’insorgenza di tumori era più bassa del 22% rispetto ai pendolari motorizzati.

Risultati molto positivi anche per chi raggiungeva il posto di lavoro prevalentemente in treno, questo gruppo di persone ha mostrato una probabilità di decesso precoce inferiore del 10% rispetto agli automobilisti.

È del 20% inferiore invece la probabilità di avere patologie cardiovascolari e del 12% in meno quella dell’insorgenza di cancro rispetto ai pendolari legati all’auto.

Questi studi e i relativi risultati hanno tenuto anche conto di tutti quei soggetti che nel corso della sperimentazione hanno mutato abitudini di spostamento.

I soggetti che sono passati dalla mobilità in auto ad una più attiva sono stati spostati in altra categoria, tenendo sempre conto della durata delle abitudini di spostamento.

I ricercatori hanno individuato nella costanza dell’attività fisica, nel movimento fisico quotidiano dei soggetti che si muovevano a piedi, in bici oppure in treno il principale fattore di benessere fisico e di longevità.

Peraltro, questo stile di vita porta risultati positivi indipendentemente da altri fattori, come per esempio un’alimentazione corretta oppure lo svolgimento di altre attività fisiche più intense.

 

Un risultato dovrebbe far riflettere le istituzioni

Se si mettono in relazione i risultati di queste ricerche con alcuni dati statistici dei sistemi sanitari italiani ed europei si comprende come politiche attive per promuovere una mobilità attiva e sostenibile dovrebbero essere una priorità dell’azione pubblica.

I dati dei servizi sanitari nazionali e degli istituti di ricerca stimano che i sistemi sanitari dei paesi europei spendano oltre 196 miliardi di euro all’anno per la cura e il trattamento di patologie cardiovascolari.

Nel nostro paese il costo di queste patologie per la sanità pubblica si aggira attorno ai 16 miliardi di euro di costi diretti, più 5 miliardi di costi indiretti legati alla perdita di produttività.

Guardando all’Italia, i dati forniti dal Servizio Sanitario Nazionale elaborati da università e istituti di ricerca, hanno stimato che nel nostro paese i costi sostenuti per il contrasto e la cura delle patologie oncologiche si attesti intorno ai 19 miliardi di euro.

Abbiamo tralasciato poi il dato più importante e sensibile di queste patologie, ovvero i milioni di persone che ne soffrono o che perdono la vita. Migliaia ogni anno in Italia e in tutta Europa.

Se ogni Governo, istituzione o ente locale riuscisse a mettere in atto una strategia per mutare la mobilità dei centri urbani, togliendo spazio alle auto a favore di aree pedonali, piste ciclabili e innovativi mezzi di trasporto pubblico probabilmente, nell’arco di qualche anno, si potrebbe incidere su questi numeri.

Ecco perché, in un mondo che sta cambiando per la pandemia, la mobilità attiva e sostenibile deve essere la priorità nello sviluppo dei centri urbani grandi e piccoli.

 

_ Leggi gli altri nostri articoli sulla salute e il benessere:

Commenta per primo

POTRESTI ESSERTI PERSO:

Camminare salva la vita: 11 malattie che tieni lontane se vai a piedi

Il cerotto hi-tech che aiuta trekker e sportivi a recuperare più in fretta

Camminare a intervalli fa dimagrire davvero: 10 cose da sapere